【財務】平成20年 第15問 資本コスト
第15問(H20)
K社は次の条件で、普通社債を発行した。この普通社債の資本コスト(r)を算定するための計算式として最も適切なものを下記の解答群から選べ。ただし、税金は考えないものとする。また、式において、-(マイナス)はキャッシュ・アウトフローを意味している。
・額面100円につき97円で発行
・償還期限3年
・クーポンレート4%(1年後より年1回支払)
・社債発行費は額面100円につき2円(発行時に現金支払)
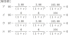
解答)イ
第15問(H20)
K社は次の条件で、普通社債を発行した。この普通社債の資本コスト(r)を算定するための計算式として最も適切なものを下記の解答群から選べ。ただし、税金は考えないものとする。また、式において、-(マイナス)はキャッシュ・アウトフローを意味している。
・額面100円につき97円で発行
・償還期限3年
・クーポンレート4%(1年後より年1回支払)
・社債発行費は額面100円につき2円(発行時に現金支払)
解答)イ